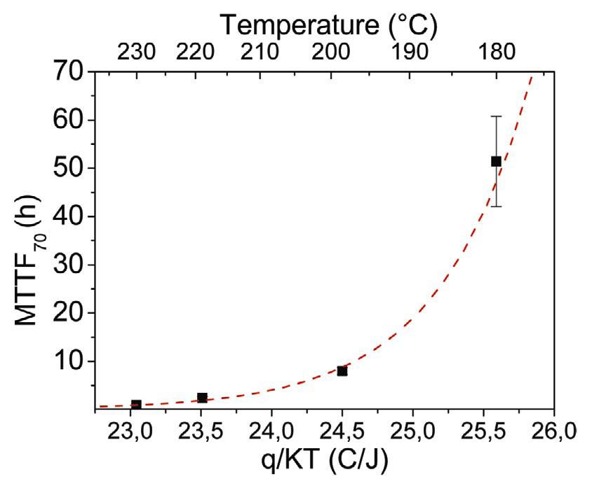
Figure 3: Average values of the Time To Failure for a 30% flux decay. The red line represents the exponential fitting, according to equation (1). Home