The Global
Information Hub for
Lighting Technologies
and Design
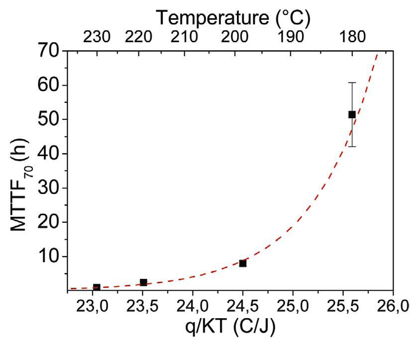
Figure 3: Average values of the Time To Failure for a 30% flux decay. The red line represents the exponential fitting, according to equation (1).https://www.led-professional.com/media/technology_thermal-management_thermally-activated-degradation-of-phosphor-converted-white-leds-1_figure3-jpg/viewhttps://www.led-professional.com/media/technology_thermal-management_thermally-activated-degradation-of-phosphor-converted-white-leds-1_figure3-jpg/@@images/image-1200-5b198d28301947172ba844992dea1653.jpeg
Figure 3: Average values of the Time To Failure for a 30% flux decay. The red line represents the exponential fitting, according to equation (1).